반응형
일
일(N * m) = 힘(N) x 변위(m)

그림과 같이 막대에 0에서부터 P까지의 외부에서 힘을 준다고 합시다. 이때의 힘의 식은

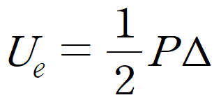
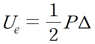
입니다. 힘이 P에 다다랐을때의 일은 얼마일까요?


오른쪽 그래프의 아래 면적입니다.

이번에는 P대신 1이라는 가상의 힘을 넣어보았습니다. 이때 외부 일의 크기는 얼마일까요?

입니다.

이번에는 가상의 힘 1과 P의 힘을 합쳐 기둥을 당겨보겠습니다. 위에 빨간 네모 박스에서 일은 누가 한거일까요? 이미 1의 하중이 작용하고 있는데 P를 더하면 Δ' + Δ로 기둥이 늘어나게 됩니다. 이때 빨간빡스의 일은 변위 Δ가 생기는 동안 1이 한 일입니다.

빨간 박스의 넓이가 가상일법의 왼쪽 식(외부 힘)이라는 것을 알아보았습니다. 다음에는 내부 힘에 대해 알아보겠습니다.
반응형
'Review > 일상' 카테고리의 다른 글
| 색인 생성 요청이 거부됨 실시간 테스트 중에 URL에서 색인 생성 문제가 감지되었습니다. 해결방법 (0) | 2023.09.22 |
|---|---|
| 아이폰 타임스탬프 넣는법 - 사진, 동영상 (0) | 2023.09.21 |
| 가상일법 개념 - 1 (0) | 2023.09.19 |
| 한글 수식 입력 단축키 (0) | 2023.09.18 |
| 티스토리 문의하는 방법 (0) | 2023.09.11 |
댓글